Formel-Sammlung: G-Kurs
Home
Formeln GK
Formeln EK

Verzammelt?
Download hier!

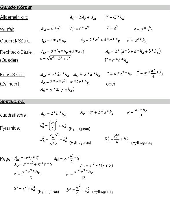
Formeln 10 A Seite 1

Formeln 10 A Seite 2

[Bio] [Computer] [Mathe] [Sport] [Technik] [Ausbildung] [VA] [Kontakt]